近日,北航beats365亚洲体育投注谢杨副教授课题组和西安交通大学吴少伟教授课题组合作,对我国部分城市人群短期暴露于大气颗粒物污染导致的额外住院人次和经济负担进行了详细分析,并在《Lancet Regional Health-Western Pacific》杂志发表了题为“Short-Term Ambient Particulate Air Pollution and Hospitalization Expenditures of Cause-Specific Cardiorespiratory Diseases in China: A Multicity Analysis”的论文(https://www.thelancet.com/journals/lanwpc/article/PIIS2666-6065(21)00141-3/fulltext)。

随着我国经济快速发展和化石燃料消耗量增加,城市空气污染问题日益严重,其导致的相关疾病负担及相应的医疗支出巨大,给个人、家庭和社会经济带来负面影响。既往研究显示,短期暴露于大气颗粒物污染可导致心肺疾病住院率增加,但缺乏基于真实住院数据对相应超额住院人次和医疗花费的定量评估。
该研究首次基于城市级别的日度直接医疗支出数据,评估了大气PM2.5造成的健康和经济负担。根据2016-2017年全国74个城市(图1)城镇职工基本医疗保险数据库中下呼吸道感染和心脑血管疾病的日度住院人次和医疗花费数据,应用时间序列分析等方法计算了归因于空气污染(PM2.5)短期暴露的住院人次、住院天数和医疗支出;根据住院导致的劳动时间损失,结合各城市平均工资,推算了因PM2.5污染导致误工带来的经济损失;再根据医保覆盖人群比例,推算了因大气PM2.5短期暴露造成的全国城镇职工参保人群的健康和经济损失。

图1.本研究74个城市分布(蓝色为北方城市,红色为南方城市)
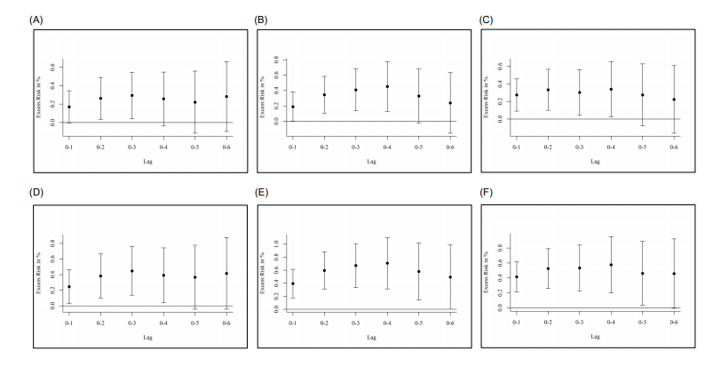
研究结果发现,PM2.5短期暴露浓度增高导致城镇参保职工心肺疾病的住院花费和住院天数均有显著增加(图2)。基于2016-2017年的74个城市城镇职工呼吸系统和心脑血管疾病住院数据,研究结果显示归因于PM2.5短期暴露(累积3天,lag0-2)的下呼吸道感染病例为28,560例、冠心病病例为54,600例,脑卒中病例为23,989例;相关的直接医疗花费分别为2.20亿元(置信区间:0.29,4.08)、4.58(1.41,7.72)亿元和4.10亿元(1.23,6.94)。以此推算全国城镇参保职工的归因损失,结果显示大气PM2.5短期暴露造成的额外住院人次为362,007人次,相关额外直接医疗花费将达36.8亿元(表1)。

图2.2016-2017年我国大气PM2.5短期暴露与74城市参保职工住院人次和住院天数的关联(结果表示为不同时间窗PM2.5浓度每升高10μg/m3对应的百分比变化及其95%置信区间)
除了直接医疗花费,劳动力人口住院造成的额外劳动时间损失,将带来显著的间接经济影响。研究期间我国城镇职工中劳动力人口(65岁以下人群)因为住院而导致显著劳动时间损失,其相关间接经济损失达7.98亿元。65岁及以上退休职工住院造成的劳动力人口因为陪护而导致劳动时间损失在本研究中无法估算,若纳入计算,相关经济损失将会进一步增加。
该研究发现大气PM2.5短期暴露可以显著增加呼吸系统和心脑血管系统住院人次和相关医疗花费。上述结果显示近年来我国政府大力控制空气污染排放、持续改善空气质量,可能带来显著人群健康效益,为个人和社会节约可观的医疗支出,并减少因劳动时间损失而导致的相关经济损失。在未来迈入老龄化社会进程中,医疗支出不断增加的情况下,积极推动空气污染治理、改善人居环境,不仅能够提高公众健康水平,也可以减轻家庭和社会的医疗负担。

beats365亚洲体育投注谢杨副教授为本文第一作者,钟铧副教授为共同作者,西安交通大学公共卫生学院吴少伟教授为本文通讯作者。研究得到了国家自然科学基金和国家重点研发计划等项目的资助。
作者简介
谢杨
beats365亚洲体育投注副教授,北京大学医学博士、东京工业大学管理科学与工程专业博士,日本国立环境研究所环境经济研究室博士后。研究方向为全球健康、气候变化应对和空气污染健康经济影响。开发了健康综合评估模型,该模型应用在评估中国三十省PM2.5和臭氧污染对健康和经济影响分析以及空气污染治理和温室气体减排成本效益分析。研究区域包括全球、亚洲地区、中国和韩国等国家以及中国部分地区,包括京津冀地区、长三角、珠三角、成渝地区等区域。主持国家自然科学基金青年基金、国家自然科学基金重点项目子课题、北航“青年拔尖人才支持计划项目”,参与科技部重点研发和社科重点项目。在环境健康领域Environmental Science & Technology、Environment International, Environmental Research Letters、Lancet、Lancet Public Health、Environmental Health Perspectives等环境健康领域顶级期刊发表40余篇。国家自然科学基金委员会项目评审人,《柳叶刀健康与气候变化倒计时2020:中国报告》执笔作者,《全球疾病负担》研究合作者。
吴少伟
西安交通大学公共卫生学院教授,劳动卫生与环境卫生学系主任,博士生导师,入选国家级青年人才项目及西安交通大学青年拔尖人才支持计划(A类),近年研究主要关注空气污染、紫外线等环境因素的人群健康影响及相关机制,以及行为、心理因素与环境因素对健康影响的交互作用,主持国家重点研发计划课题、国家自然科学基金等纵向项目多项,以第一作者/通讯作者在Am J Psychiatry, J Clin Oncol, J Natl Cancer Inst, Lancet Regional Health, Ann Rheum Dis, J Am Soc Nephrol, J Hazard Mater, Environ Health Perspect, Environ Int,Int J Epidemiol, Environ Sci Technol等国际权威期刊发表SCI收录论文60余篇,多篇论文由发表期刊配发评论、新闻稿或选为封面论文。曾获中国环境科学学会首届青年科学家奖优秀奖,目前担任国际环境流行病学会亚太分会(ISEE Asia Western Pacific Chapter)理事、第八届国家卫生健康标准委员会环境健康标准专业委员会委员、中国医疗保健beats365唯一官方网站促进会(医促会)公共卫生与预防医学分会委员等社会职务。